
Ο υπουργός Οικονομίας και η αναπληρώτρια υπουργός Εργασίας έχουν καταθέσεις 3.148.801 δολάρια σε τράπεζες του εξωτερικού – Τα εισοδήματα του Δημήτρη Παπαδημητρίου για το 2014 ήταν 337.104 δολάρια και της Ράνιας Αντωνοπούλου 161.326
Σε «χρυσό» ζευγάρι της κυβέρνησης αναδεικνύονται ο υπουργός Οικονομίας Δημήτρης Παπαδημητρίου και η αναπληρώτρια υπουργός Εργασίας Ράνια Αντωνοπούλου, καθώς εμφανίζουν καταθέσεις πολλών εκατομμυρίων και εισοδήματα που προκαλούν ίλιγγο.
Σύμφωνα με το «πόθεν έσχες» που κατέθεσε η κυρία Αντωνοπούλου και αποτυπώνει την περιουσιακή κατάσταση του ζεύγους για το 2014 προκύπτουν τα εξής:
Ο κ. Παπαδημητρίου είχε εισοδήματα 337.104 δολάρια ενώ η κυρία Αντωνοπούλου 161.326 δολάρια, σύνολο 498.430 δολάρια. Επίσης, από πώληση ακινήτου στις ΗΠΑ εισέπραξαν 1.800.000 δολάρια ενώ δηλώνουν ιδιοκτήτες ακόμα τεσσάρων ακινήτων.
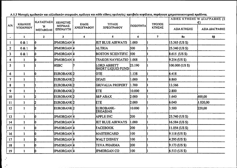
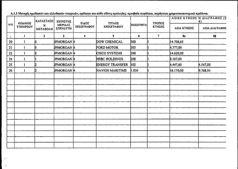
Το χαρτοφυλάκιο μετοχών και αμοιβαίων ανέρχεται σε 241.051 δολάρια και 103.711 ευρώ.
Από τις τραπεζικές καταθέσεις εντύπωση προκαλεί του κ. Παπαδημητρίου ύψους 2.450.000 δολαρίων σε Ιδιωτικό Συνταξιοδοτικό Πρόγραμμα. Συνολικά, οι τραπεζικές καταθέσεις εξωτερικού (HSBC, JpMorgan κ.α.) ανέρχονται σε 3.148.801 δολάρια και σε 22.575 ευρώ.

































































